Nutritional, developmental, and immunological advances in farmed cleaner fish
Establishing a scientific foundation for reliable Ballan wrasse production, an important step in supporting sustainable salmon farming in Scotland
Project summary
Partners: Otter Ferry Seafish, BioMar Ltd, University of Stirling’s Institute of Aquaculture, Mowi Scotland, Scottish Sea Farms
Impact
This project produced valuable methods for future research.
£651,467
Total value
Case study
Download
BACKGROUND
The ballan wrasse (Labrus bergylta) has become a valuable tool for sustainable sea lice management in salmon aquaculture. Used as a cleaner fish to graze lice from salmon, this gentle and environmentally friendly method can be used alongside – or as an alternative to – pharmaceutical or mechanical treatments. However, the success of this biological control device depends on a consistent, healthy, and ethically sourced supply of wrasse.
Historically, the majority of ballan wrasse deployed on salmon farms in Scotland and elsewhere were wild caught. This approach raised sustainability concerns and places pressure on natural populations. To move towards a closed, sustainable production cycle, the aquaculture sector has been working to establish reliable hatchery rearing of ballan wrasse. Yet, this has proved challenging.
Hatchery production can suffer from low and unpredictable survival rates, the risk of skeletal deformities, and kidney disorders such as nephrocalcinosis. These health issues limit the supply of robust fish suitable for sea deployment. At the same time, knowledge was lacking about the species’ nutritional requirements, environmental sensitivities, and immune function.
To address these challenges, the collaborative research projects Ballan+ and BallanP were initiated, which brought together academic and industry expertise.
The work was led by Otter Ferry Seafish and BioMar Ltd, in partnership with the University of Stirling’s Institute of Aquaculture, Mowi Scotland and Scottish Sea Farms, combining research, feed formulation, and hatchery experience. Together, these projects aimed to establish a scientific foundation for reliable wrasse production, an important step in supporting sustainable salmon farming in Scotland.
AIMS
The two projects were designed to tackle different but complementary aspects of ballan wrasse farming.
The original project, Ballan+, aimed to:
- Define the timeline of key developmental deformities, including spinal, jaw, and swim bladder abnormalities and nephrocalcinosis;
- Identify how nutrition and environmental factors influence these deformities;
- Develop and test nutritional and functional feed interventions to improve robustness, growth, and immune resilience in juvenile fish.
BallanP, launched as a follow-up to the first project, focused more narrowly on nutrition. Its goal was to:
- Determine the phosphorus requirements of ballan wrasse for maximum growth and optimum skeletal health;
- Compare the biological effects of two main phosphorus sources: monocalcium phosphate (MCP) and monosodium phosphate (MSP).
OVERVIEW
Ballan+
Ballan+ took a multi-pronged approach, structured around several work packages (WPs) that investigated deformity development, nutrition, environmental influences, and fish robustness.
The first step as part of WP1 was to understand when and how skeletal and kidney-related abnormalities appear during early development. Researchers examined over 20 hatchery batches, following larvae and juveniles from hatching through 1,500 degree days of growth. They analysed physical deformities, X-rays, and stained skeletal preparations to build a detailed timeline of malformation development.

Figure 1. Ballan wrasse at 500 degree days, showing a typical example of the final four vertebrae (a) vs hemi-vertebra in the final vertebra (b).
The next phase (WP2) tested the influence of nutrition on deformity rates, focusing on key minerals (phosphorus [P] and vitamin D3 [VD3]) that regulate bone and kidney health. Early trials also explored live-feed types (rotifers vs. barnacle nauplii) and environmental ‘green water’ conditions, though bacterial issues limited results. The main progress came from dietary mineral trials, which systematically altered P and VD3 levels to study their effects on growth and deformities.
To improve fish survival post-deployment, the project developed controlled immune challenge models (WP3), using bacterial and viral pathogen-associated molecular patterns (PAMPs). These models were used to test functional diets containing nucleotides, which are thought to boost immune responses and help fish adapt to stressful conditions such as low salinity.
The final work package planned to follow selected hatchery batches into the production cycle to measure survival and performance after sea transfer. However, logistical issues prevented this component from aligning with commercial deployment schedules during the project period.
BallanP
BallanP built directly on the nutritional findings of Ballan+, targeting the specific role of phosphorus and how different forms of it affect ballan wrasse growth and bone health.
Six experimental feeds were produced by BioMar, containing various phosphorus levels (from 1.0% to 2.6%) derived from either monocalcium phosphate (MCP) or monosodium phosphate (MSP). Juvenile fish were fed these diets for 67 days under controlled conditions at the Otter Ferry Seafish facility.
The study measured growth performance, welfare, body composition, bone deformities, and nephrocalcinosis. It also analysed gene expression in the intestine to understand how phosphorus and vitamin D metabolism were affected by each diet.
RESULTS
Development and pathology
The project provided the first detailed developmental map of deformities in hatchery-reared ballan wrasse. Skeletal deformities were common but varied throughout larval growth. Vertebral abnormalities dominated early stages (100–700 degree days), while jaw deformities became more frequent later (800–1,400 degree days).

Figure 2 (a-c). Mean percentage of all skeletal abnormalities (a), types of vertebral column abnormality (b), and irregularities in the swim bladder (c).
Calcified deposits in the kidney or urinary tract, called nephrocalcinosis, followed a fluctuating pattern. It appeared at high levels early (over 50% of fish between 200-400 degree days), declined to below 10% by 1,000 degree days, and then rose again sharply to over 70% at 1,400 degree days. These cycles suggest that environmental shifts, particularly changes in temperature and salinity, could play a role.

Figure 3. Prevalence of nephrocalcinosis in ballan wrasse larvae across development (degree days). Peaks occur early (200–400 DD) and again around 1,400 DD.
Fish from broodstock kept under advanced temperature and light regimes had notably higher nephrocalcinosis than those under ambient or delayed cycles, suggesting possible broodstock conditioning effects.
Nutritional findings
When phosphorus and vitamin D3 were tested together, phosphorus emerged as the key driver of growth and skeletal outcomes. Fish grew best on diets containing around 2.2% phosphorus, but this same level also increased bone compression deformities and nephrocalcinosis. Vitamin D3 levels did not significantly affect growth but interacted with phosphorus to influence kidney calcification: fish on high-P, low-VD3 diets had the worst kidney outcomes.

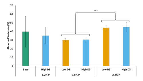
Figure 4. Frequency of abnormal vertebrae for each experimental diet. Higher dietary phosphorus increased the frequency of vertebral deformities in juvenile ballan wrasse.
These findings indicate a fine balance between growth and skeletal health. Ballan wrasse require higher phosphorus than expected, but excessive levels, particularly when not matched by sufficient calcium and vitamin D3, can cause serious health issues.
Immune response and robustness
The PAMP challenge successfully demonstrated that both viral (Poly I:C) and bacterial (LPS) immune stimulants triggered clear immune activation in ballan wrasse, validating them as research tools.
When nucleotide-based functional feeds were tested, survival and growth remained excellent across all diets (>99% survival). However, nucleotide inclusion at the levels tested (up to 0.15%) did not significantly alter performance, immune gene expression, or stress tolerance.
The study nonetheless produced valuable methods for future robustness research. The validated immune and salinity stress models can now be used to assess new functional feed ingredients more effectively.
Growth and welfare
In the follow-up BallanP study, fish fed diets containing MCP grew consistently well across all phosphorus levels. There was little difference between diets ranging from 1.0% to 2.6% P, suggesting ballan wrasse can tolerate moderate variations in dietary phosphorus without adverse effects when MCP is used.
In contrast, fish fed MSP diets grew significantly more slowly and showed reduced condition factors, despite similar survival rates. The poorer performance was likely due to the higher solubility and rapid absorption of MSP, potentially leading to phosphorus toxicity or metabolic imbalance.
Chemical, structural, and molecular insights
At higher MCP levels (2.2–2.6%), fish had slightly higher ash content, indicating increased mineralisation, but no negative effects on skeletal structure or health. MSP-fed fish, however, had elevated ash and vitamin D, reduced lipid content, and showed differences in gene expression associated with phosphorus metabolism.

Table 1. Biochemical and mineral composition of whole fish samples of ballan wrasse in response to different dietary phosphorus levels and sources. A p-value of less than 0.05 is considered statistically significant. MSP-fed fish showed higher mineral content and lower lipid levels, indicating altered nutrient metabolism.
No major differences were observed in overall deformity rates or nephrocalcinosis prevalence between treatments, although deformity levels were similar to those seen in the Ballan+ phase of the research.
Gene expression analyses revealed that one vitamin D receptor gene (vdrb) was significantly upregulated in MSP-fed fish, while a phosphorus transporter gene (slc34a2a) was downregulated. This suggests that MSP affects the way ballan wrasse regulate phosphorus absorption and vitamin D activity, possibly contributing to the reduced growth seen with MSP diets.
Overall, BallanP confirmed that MCP is the more suitable phosphorus source for this species, while MSP can impair growth and nutrient balance.
IMPACT
Together, Ballan+ and BallanP represent a significant advancement in the scientific understanding of ballan wrasse biology and nutrition. The projects generated detailed new knowledge on skeletal development, mineral metabolism, and immune function, filling major gaps that had previously limited hatchery success.
For hatchery operators, these findings have immediate practical applications:
- The projects established clear guidance on phosphorus and vitamin D3 levels that balance growth with skeletal health.
- Understanding when and why deformities occur helps hatcheries adjust environmental parameters, such as temperature, light and salinity, to reduce risk.
- The validated immune and stress challenge models provide standardised methods for testing new feeds and interventions aimed at improving fish robustness.
The research also enhances Scotland’s reputation as a leader in sustainable aquaculture innovation. By combining academic excellence from the University of Stirling with the commercial expertise of companies like BioMar and Otter Ferry Seafish, these projects demonstrate the effectiveness of industry–research partnerships fostered by SAIC.
Producing healthy, robust cleaner fish domestically reduces the biosecurity risks associated with importing or wild-sourcing fish and contributes to a circular, low-waste aquaculture economy. The improved feeds and husbandry practices emerging from these projects can lead to higher survival rates, improved production yields, and cost savings for farmers.
At a broader scale, this research and its impacts promote the responsible use of marine resources while creating high-value, sustainable employment.
While Ballan+ and BallanP answered many foundational questions, they also opened new lines of inquiry. Future work should focus on the bioavailability of different phosphorus sources, how gut structure affects absorption, refining dietary requirements for early life stages, and applying the immune and stress challenge models to test next-generation functional feeds.
By providing the scientific basis for more predictable and ethical cleaner fish production, the Ballan projects pave the way for sustainable growth of the aquaculture sector, not only in Scotland but across Europe.
Acknowledgement of collaboration
This project benefited from a collaborative exchange with Ghent University. Time spent there enabled training in the whole‑mount staining technique, which informed the interpretation and presentation of the larval abnormalities. In particular, the developmental insights provided by Eckhard Witten played an role in shaping this section of the study, even though these contributions sit outside the commercial focus of the wider project.